近日,中国科学院空天信息创新研究院助理研究员杨爱霞、高级工程师王大成与浙江外国语学院城市国际化研究院院长陈溪、文旅学院教授黄克己,以及南京大学、临沂大学合作者组成的研究团队,通过深度融合遥感与空间分析技术,建构了一套具有全球普适性的话语体系和评估标准,为全球运河城市的发展评估与规划提供了创新方法论支撑。研究成果以“A comprehensive evaluation framework for global canal cities(全球运河城市综合评价框架)”为题,发表在城市研究领域国际权威期刊《Cities》(Q1)。
该项研究针对当前全球运河城市研究中存在的“学科碎片化” “量化数据匮乏”及“评估框架不统一”等瓶颈,首创了融合文化旅游、交通运输与生态环境三大维度的综合评价体系。研究人员运用遥感解译、空间分析与多源数据收集等定性和定量方法,选取全球20个典型运河城市开展了实证评估。
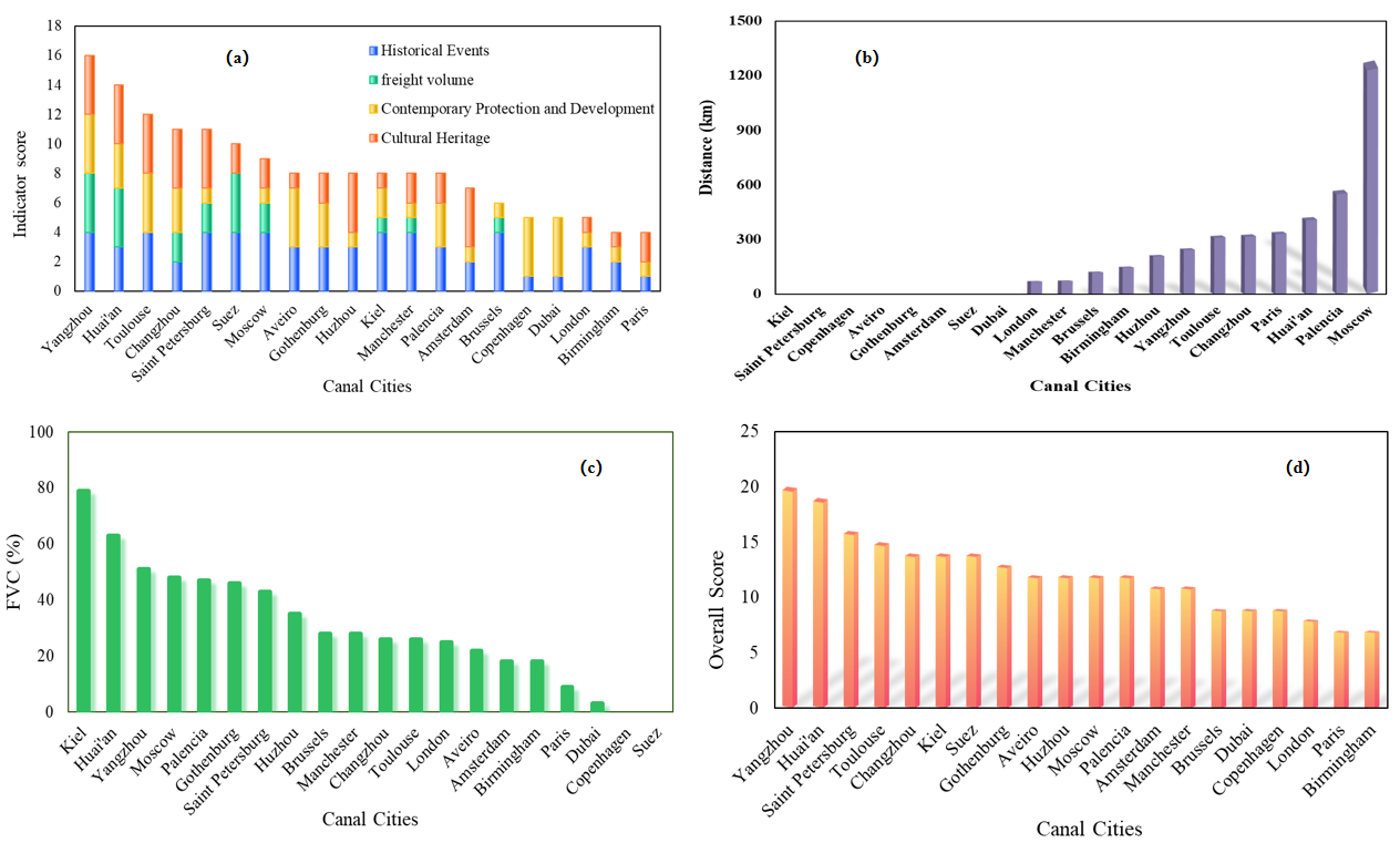
该研究发现:在文化旅游方面,中国运河城市(如扬州、淮安)因深厚的历史底蕴和持续的当代保护发展而获得较高分数,部分欧洲运河城市(如巴黎、哥本哈根)因货运功能衰退及当代活动影响力有限,反而排名相对靠后。在交通运输方面,拥有直接出海口的城市(如阿姆斯特丹、苏伊士)具有显著优势,而莫斯科这样的内陆城市,因通航距离超过1000公里,在交通便捷度上处于劣势。在生态环境方面,基尔和淮安的运河沿线植被覆盖度高,生态价值突出,哥本哈根与苏伊士等城市则获得较弱评分,可能对生态可持续性形成挑战。据此,扬州和淮安凭借各维度的均衡表现位居全球前列,领先于部分因发展不均衡而位居其后的国际名城。
在研究过程中,遥感技术作为连接人文地理、生态学与城市规划等学科的“通用语言”与“定量标尺”,其宏观、客观与可重复的比较优势,为跨越学科壁垒、实现多维度精准评估提供了方法论基石。最终,为提升我国在全球治理中的话语权,提供了从方法论到实践应用的全方位支撑。
论文链接:https://doi.org/10.1016/j.cities.2025.106666.

图1 运河城市排名:(a)文旅指标得分;(b)交通运输指标得分;(c)生态环境指标得分; (d)综合得分。(注:得分相同的城市按照字母顺序排列)
动态新闻